I was thinking the other night about the how the quadratic formula was taught in school. As far as I can remember, we were just asked to memorize it. I thought it would be better if people were taught its derivation instead. If people understand the derivation, then they can either recreate the formula on their own, or even use the underlying technique instead.
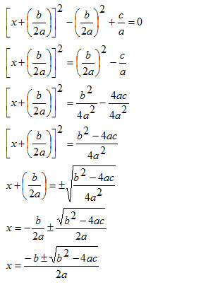
One technique of deriving the quadratic formula is to take a generic quadratic equation, and use a technique called "completing the square" to solve it.
The canonical form of a quadratic equation is: ax2 + bx + c = 0
The point in "completing the square" is to try to manipulate the equation to the point where we can take advantage of the fact that x2 + 2xy + y2 = (x+y)2. It will then be easy to solve for x.

The part of the equation within the brackets are in the form (x2 + 2xy + y2). We replace it with the equivalent form (x+y)2, and then simply solve for x.

This gives us the familiar quadratic equation.